B.4.8. Statistical Constraints on Mass Distributions
Where individual lenses may fail to constrain the mass distribution, ensembles of lenses may succeed. There are two basic ideas behind statistical constraints on mass distributions. The first idea is that models of individual lenses should be weighted by the likelihood of the observed configuration given the model parameters. The second idea is that the statistical properties of lens samples should be homogeneous.
An example of weighting models by the likelihood is the limit on the slopes
of central density cusps from the observed absence of central images.
Rusin & Ma
([2001])
considered 6 CLASS (see Section B.6)
survey radio doubles and computed the probability
pi(n) that lens i would have
a detectable third image in the core of the lens assuming power law mass
densities
R1-n and including a model for the
observational sensitivities and the magnification bias (see
Section B.6.6) of the
survey. They were only interested in the range n < 2, because
as discussed in Section B.3, density cusps
with n
2 never have central
images. For most of the lenses they considered, it was possible to find
models of the 6 lenses that lacked detectable central images over a broad
range of density exponents. However, the shallower the
cusp, the smaller the probability pi(n) of
producing a lens without a visible central image. For any single lens,
pi(n) varies too little to set
a useful bound on the exponent, but the joint probability of the entire
sample having no central images,
P =
i(1
- pi(n)), leads to a
strong (one-sided) limit that n > 1.78 at 95% confidence
(see Fig. B.28). In practice, Keeton
([2003a])
demonstrated that the central stellar densities
are sufficiently high to avoid the formation of visible central images in
almost all lenses given the dynamic ranges of existing radio observations
(i.e. stellar density distributions are sufficiently cuspy), and central
black holes can also assist in suppressing the central image (Mao, Witt
& Koopmans
[2001]).
However, the basic idea behind the Rusin & Ma
([2001])
analysis is important and underutilized.
![]() |
Figure B.28. Limits on the central density
exponent for power-law density profiles
|
An example of requiring the lenses to be homogeneous is the estimate of
the misalignment between the major axis of the luminous lens galaxy and
the overall mass distribution by Kochanek
([2002b]).
Fig. B.29 shows the misalignment angle
LM =
|
L -
M|
between the major axis
L of the lens
galaxy and the major axis
M of an
ellipsoidal mass model for the lens. The particular mass
model is unimportant because any single component model of a four-image lens
will give a nearly identical value for
M (e.g. Kochanek
[1991a],
Wambsganss & Paczynski
[1994]).
The distribution of the misalignment angle
LM is not
consistent with the mass and
the light being either perfectly correlated or uncorrelated. This is not
surprising, because a simple ellipsoidal model determines the position
angle of the mean
quadrupole moment near the Einstein ring, which is a combination of the
quadrupole moment of the lens galaxy, the halo of the lens galaxy, and
the local tidal shear (see Section B.4.4).
Even if the lens galaxy and the halo were perfectly aligned, we would
still find that the orientation of the mean quadrupole
would differ from that of the light because of the effects of the tidal
shears. We can model this by estimating the probability of reproducing
the observed misalignment distribution in terms of the strength of the
local tidal shear
rms and the dispersion in

in the
angle between the major axis of the mass distribution and the light, as
shown in Fig. B.30. The observed mismatch can
either be produced by having a typical tidal shear of
rms
0.05
or by having a typical misalignment between mass and light of

20°. We know,
however, that the typical
tidal shear cannot be zero because it can be estimated from the statistics
of galaxies (e.g. Keeton, Kochanek & Seljak
[1997],
Holder & Schechter
[2003]).
Keeton et al.
([1997])
obtained
rms
0.05,
in which case mass must align with light and we obtain
an upper limit of

10°.
Holder & Schechter
([2003])
argue for a much higher rms shear of
rms = 0.15 based on N-body
simulations, which is too high to be consistent with the observed alignment
of mass models and the luminous galaxy. One possible explanation
(based on the results of White, Hernquist & Springel
[2001])
is that Holder & Schechter
([2003])
included parts of the lens galaxy's own halo in their estimate of the
external shear. Alternatively, if lens galaxies are more compact than
the SIE model used by Kochanek
([2002b]),
then the lower surface density
<
> raises the
required shear (since
(1 -
<
>),
Eqn. B.78). However, mass distributions similar to constant mass-to-light
ratio models of the lenses would be required, which would be inconsistent
with shear estimates from simulations in which galaxy masses are
dominated by extended dark matter halos.
![]() |
Figure B.29. (Top)
The integral distribution of misalignment angles
|
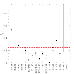
The trade-off between central concentration and shear leads to the the interesting question of where the quadrupole structure of lenses originates. As we discussed in Section B.4.4, we can break up the quadrupole of the mass distribution into the internal quadrupole due to the matter interior to the Einstein ring (Eqn. B.52) and the exterior quadrupole due to the matter outside the Einstein ring (Eqn. B.51). While the internal quadrupole is due only to the lens galaxy, the external quadrupole is a mixture of the quadrupole from the parts of the galaxy outside the Einstein ring (i.e. the dark matter halo) and the tidal shear from the environment. An important fact to remember is that for an isothermal ellipsoid, only fint = 25% of the quadrupole is due to mass inside the Einstein ring (see Fig. B.22, Section B.4.4)! Turner, Keeton & Kochanek ([2004]) explored this by fitting all the available four-image lenses with an SIS monopole combined with an internal and an external quadrupole. They then computed the fraction of the quadrupole fint associated with the mass interior to the Einstein ring to find the distribution shown in Fig. B.31. Most four-image lenses seem to be dominated by the external quadrupole, with internal quadrupole fractions below the fint = 0.25 fraction expected for an isothermal ellipsoid. Lenses clearly in environments with very large tidal shears (e.g. RXJ0911+0551 which is near massive cluster, Bade et al. [1997], Kneib et al. [2000], Morgan et al. [2001] or HE0435-1223 which is near a large galaxy, Wisotzki et al. [2002], see Fig. B.4) show much smaller internal shear fractions. B1608+656 (Myers et al. [1995], Fassnacht et al. [1999]), which has two lens galaxies inside the Einstein ring, shows a significantly higher internal quadrupole fraction. Combined with the close correlation of mass model alignments with the luminous galaxies, this seems to argue for significant dark matter halos aligned with the luminous galaxy, but the final step of quantitatively assembling all the pieces has yet to be done.
![]() |
Figure B.31. The internal shear fraction
fint for the
four-image lenses. Each system was fitted by an SIS combined with an
internal shear and an external shear and fint =
| |
Statistical analyses can also be used to estimate the radial density
distribution from samples of lenses which individually cannot.
The existence of the fundamental plane (see
Section B.9) strongly suggests that the
structure of early-type galaxies is fairly homogeneous - in particular it is
consistent with galaxies having self-similar mass distributions
in the sense that the halo structure can be scaled from the structure
of the visible galaxy. As a particular example based on our theoretical
expectations, Rusin, Kochanek & Keeton
([2003])
and Rusin & Kochanek
([2004])
modeled the visible galaxy with a
Hernquist (Eqn. B.56) model scaled to match the observed effective radius
of the lens galaxy, Re, and then added a cuspy dark
matter halo (Eqn. B.59 with a variable inner cusp
,
= 2 and m = 3)
where the inner density cusp
(
r-
), the halo break radius rb and the
dark matter fraction fCDM inside 2Re
were kept as variables. The
assumption of self-similarity enters by keeping the ratio
rb / Re constant,
the dark matter fraction fCDM constant, and then
scaling the mass-to-light ratio of the stars
Lx with the luminosity.
4
We recover the fundamental plane in this model when
x
0.25. Putting
all the pieces together, the projected mass inside radius R is
![]() |
(B.89) |
where
* is the mass-to-light ratio of the
stars in an L* galaxy,
log L(0) = log L(z) - e(z) is the
luminosity of the lens galaxy evolved to
redshift zero (where we discuss estimates of the evolution rate
e(z) in
Section B.9), g(x) is the
fraction of the light inside dimensionless radius x = R /
Re (g(1) = 1/2) and
mCDM(x) is the dimensionless dark matter mass
inside radius x with mCDM(2) = 1 so that the
CDM mass fraction inside x = 2 is fCDM.
As we discussed earlier in Section B.4.6,
few lenses have sufficient constraints to estimate all the parameters in
such a complex model. However, the assumption of
self-similarity allows the average profile to be constrained statistically
(Rusin et al. 2003, 2004).
Suppose we saw lensed images generated by the
same galaxy at a range of different source and lens redshifts. Each observed
lens only reliably measures an aperture mass
Map(R < REin) =
c
REin2 where
REin is the Einstein radius. But the physical scale
REin varies
with redshift, so the ensemble of the lenses traces out the overall mass
profile. Clearly we do not have ensembles of lenses generated by
identical galaxies, but the assumption of self-similarity allows us to
use the same idea for lenses with a range of luminosities and scale
lengths. For 22 lenses with redshifts and accurate photometry we compared
the measured aperture masses to the predicted aperture masses (the procedure
for two-image lenses is a little more complicated, see Rusin et al.
[2003])
to estimate all the model parameters.
Fig. B.32 shows the
results for the parameters associated with the dark matter halo. In the
limit that fCDM
1 we find that the mass distribution is consistent with a simple SIS
model (the limit fCDM
1 and
n
2) almost
independent of the break radius location. There is
a slight trend with break radius because as the break to the steep
r-3
outer profile gets closer to the region with the lensed images the inner
cusp can be shallower while keeping the overall profile over the region with
images close to isothermal. As we reduce fCDM and add
mass to the stars, the inner cusp becomes shallower, such that for a NFW
(n = 1) cusp the dark matter fraction inside
2Re is ~ 40%. It is interesting to
note, however, that the total mass distribution (light + dark) changes
little over the full range of allowed parameters (bottom panels of
Fig. B.32) -
lensing constrains the global mass distribution not how it is divided into
luminous and dark subcomponents. Note the resemblance of the statistical
results to the results for detailed models of B1933+503 in
Fig. B.25.
4 They could also have allowed the CDM
fraction to vary as
fCDM
Ly,
but these led to degenerate models where only the combination x +
y was constrained.
Back.