2.6. Starbursts
Starbursts are galaxies (sometimes, the term also refers only to particular regions of galaxies) undergoing a large-scale star formation episode. They feature strong infrared emission originating in the high levels of interstellar extinction, strong HII-region-type emission-line spectrum (due to a large number of O and B-type stars), and considerable radio emission produced by recent SNRs. Typically, starburst regions are located close to the galactic center, in the central kiloparsec. This region alone can be orders of magnitude brighter than the center of normal spiral galaxies. From such an active region, a galactic-scale superwind is driven by the collective effect of supernovae and particular massive star winds. The enhanced supernova explosion rate creates a cavity of hot gas (~ 108 K) whose cooling time is much greater than the expansion time scale. Since the wind is sufficiently powerful, it can blow out the interstellar medium of the galaxy preventing it from remaining trapped as a hot bubble. As the cavity expands, a strong shock front is formed on the contact surface with the cool interstellar medium. The shock velocity can reach several thousands of kilometers per second and ions like iron nuclei can be efficiently accelerated in this scenario, up to ultrahigh energies, by Fermi's mechanism [301]. If the super-GZK particles are heavy nuclei from outside our Galaxy, then the nearby (~ 3 Mpc [302]) starburst galaxies M82 (l = 141°, b = 41°) and NGC 253 (l = 89°, b = -88°) are prime candidates for their origin.
M82 is probably the best studied starburst galaxy,
located at only
3.2 Mpc. The total star formation rate in the central parts is at
least ~ 10 M
yr-1
[303].
The far infrared luminosity of the inner region within 300 pc of the
nucleus is ~ 4 × 1010
L
[304].
There are ~ 1 × 107
M
of ionized
gas and ~ 2 × 108
M
of neutral
gas in the IR source
[304,
305].
The total dynamical mass in this region is ~ (1 - 2) × 109
M
[305].
The main observational features of the
starburst can be modelled with a Salpeter IMF extending from 0.1
to 100 M
. The
age of the starburst is estimated in ~ (1 - 3) × 107 yr
[304].
Around ~ 2.5 × 108
M
(i.e. ~ 36 %
of the dynamical mass) is in the form of new stars in the burst
[305].
The central region, then, can be packed with large numbers of early-type
stars.
NGC 253 has been extensively studied from radio to
-rays
(e.g. [306,
307,
308]).
A TeV detection was reported by CANGAROO
[309],
but has been yet unconfirmed by other
experiments. More than 60 individual compact radio sources have
been detected within the central 200 pc
[310],
most of which are supernova remnants (SNRs) of only a few hundred years
old. The supernova rate is estimated to be as high as 0.2 - 0.3
yr-1, comparable to the massive star formation rate, ~ 0.1
M
yr-1
[310,
311].
The central region
of this starburst is packed with massive stars. Four young
globular clusters near the center of NGC 253 can account for a
mass well in excess of 1.5 × 106
M
[312,
313].
Assuming that the star formation rate has been
continuous in the central region for the last 109 yrs, and a
Salpeter IMF for 0.08-100
M
, the
bolometric luminosity of NGC 253 is consistent with 1.5 ×
108
M
of young
stars [312].
Based on this evidence, it appears likely
that there are at least tens of millions of young stars in the
central region of the starburst. These stars can also contribute
to the
-ray
luminosity at high energies
[314,
138].
Physical, morphological, and
kinematic evidence for the existence of a galactic superwind has
been found for NGC 253
[315].
Shock interactions with low and high density clouds can produce X-ray
continuum and optical line emission, respectively, both of which have been
directly observed.
A region about 1 kpc of the M82 galactic center appears to be a fossil starburst, presenting a main sequence stellar cutoff corresponding to an age of 100-200 Myr and a current average extinction of 0.6 mag (compare with the extinction of the central and current starburst region, 2.2 mag) whereas, nearby globular glusters age estimations are between 2 × 108 and 109 yr [316]. It appears possible for this galaxy, then, that a starburst (known as M82 "B") of similar amplitude than the current one was active in the past.
2.6.3. Two-step acceleration-process in starbursts
The acceleration of particles in starburst galaxies is thought to be a two-stage process [301]. First, ions are thought to be diffusively accelerated at single SNRs within the nuclear region of the galaxy. Energies up to ~ 1014-15 eV can be achieved in this step (see, e.g. [317]). Due to the nature of the central region, and the presence of the superwind, the escape of the iron nuclei from the central region of the galaxy is expected to be dominated by convection. (24) Collective plasma motions of several thousands of km per second and the coupling of the magnetic field to the hot plasma forces the CR gas to stream along from the starburst region. Most of the nuclei then escape through the disk in opposite directions along the symmetry axis of the system, being the total path travelled substantially shorter than the mean free path.
Once the nuclei escape from the central region of the galaxy they
are injected into the galactic-scale wind and experience further
acceleration at its terminal shock. CR acceleration at superwind
shocks was firstly proposed in Ref.
[319]
in the context of our own Galaxy. The scale length of this second shock
is of the order of several tens of kpc (see Ref.
[302]),
so it can be considered as locally plane for calculations. The shock
velocity vsh can be estimated from the empirically
determined superwind kinetic energy flux
sw and
the mass flux
generated by the starburst through:
sw =
1/2
vsh2. The shock radius
can be approximated by
r
vsh
,
where
is
the starburst age. Since the age is about a few tens of million
years, the maximum energy attainable in this configuration is
constrained by the limited acceleration time arisen from the
finite shock's lifetime. For this second step in the acceleration
process, the photon field energy density drops to values of the
order of the cosmic background radiation (we are now far from the
starburst region), and consequently, iron nuclei are safe
from photodissociation while energy increases to ~ 1020 eV.
To estimate the maximum energy that can be reached by the nuclei,
consider the superwind terminal shock propagating in a homogeneous
medium with an average magnetic field B. If we work in the frame
where the shock is at rest, the upstream flow velocity will be
v1 (|v1| = vsh)
and the downstream velocity, v2. The magnetic field
turbulence is assumed to
lead to isotropization and consequent diffusion of energetic
particles which then propagate according to the standard transport theory
[320].
The acceleration time scale is then
[321]:
tacc = 4
/
v12
where
is the upstream
diffusion coefficient which can be
written in terms of perpendicular and parallel components to the
magnetic field, and the angle
between the (upstream)
magnetic field and the direction of the shock propagation:
=
||
cos2
+

sin2
.
Since strong turbulence is expected from the shock we can take the Bohm
limit for the upstream diffusion coefficient parallel to the field, i.e.
|| = 1/3
E / Z e B1, where B1 is the
strength of the pre-shock magnetic field and E is the energy of
the Z-ion. For the

component we shall
assume, following Biermann
[322],
that the mean free path perpendicular to the magnetic field is
independent of the energy and has the scale of the thickness of the
shocked layer (r / 3). Then,

= 1/3
r(v1 - v2) or, in the strong
shock limit, 
=
rv12 / 12. The upstream
time scale is tacc ~ r / (3v1),
r / 3v1 = 4 / v12
(E / (3ZeB1) cos2
+
rv12 / 12sin2
). Thus, using r
= v1
and
transforming to the observer's frame one obtains
![]() |
(52) |
The predicted kinetic energy and mass fluxes of the starburst of
NGC 253 derived from the measured IR luminosity are
2 × 1042 erg s-1 and 1.2
M
yr-1,
respectively
[302].
The starburst age is estimated from
numerical models that use theoretical evolutionary tracks for
individual stars and make sums over the entire stellar population
at each time in order to produce the galaxy luminosity as a
function of time
[304].
Fitting the observational data
these models provide a range of suitable ages for the starburst
phase that, in the case of NGC 253, goes from 5 × 107 to
1.6 × 108 yr (also valid for M82)
[304].
These models must assume a given initial mass function (IMF), which
usually is taken to be a power-law with a variety of slopes.
Recent studies has shown that the same IMF can account for the
properties of both NGC 253 and M82
[323].
Finally, the radio
and
-ray
emission from NGC 253 are well matched by models
with B ~ 50µG
[307].
With these figures, already assuming a conservative age
= 50 Myr, one obtains
a maximum energy for iron nuclei of
EmaxFe > 3.4 × 1020 eV.
2.6.4. The starburst hypothesis: UHECR-luminosity and correlations
For an extragalactic, smooth, magnetic field of
15 - 20 nG, diffusive
propagation of nuclei below 1020 eV
evolves to nearly complete isotropy in the CR arrival directions
[324,
325].
Thus, we could use the rates at which starbursts inject mass,
metals and energy into superwinds to get an estimate on the
CR-injection spectra. Generalizing the procedure discussed in
Sec. 2.4.3 - using equal power per
decade over the interval 1018.5 eV < E <
1020.6 eV - we obtain a source CR-luminosity
![]() |
(53) |
where
is the
efficiency of ultra high energy CR production by the superwind
kinetic energy flux. With this in mind, the energy-weighted
approximately isotropic nucleus flux at 1019 eV
is given by
[324]
![]() |
(54) |
where I* = IM82 +
INGC 253. To estimate the
diffusion coefficient we used BnG = 15,
Mpc = 0.5, and an
average Z = 20. We fix
![]() |
(55) |
after comparing Eq. (54) to the observed CR-flux.
Note that the contribution of IM82 and
INGC 253 to I* critically
depends on the age of the starburst. The relation
"starburst-age/superwind-efficiency" derived from Eq. (55),
leads to
10%, if both M82 and
NGC 253 were
active for 115 Myr. The power requirements may be reduced
assuming contributions from M82 "B"
[324].
Above > 1020.2 eV iron nuclei do not propagate diffusively. Moreover, the CR-energies get attenuated by photodisintegration on the CMB and the intergalactic infrared background photons. However, the energy-weighted flux beyond the GZK-energy due to a single M82 flare
![]() |
(56) |
is easily consistent with observation [324]. Here, R is the effective nucleon loss rate of the nucleus on the CBM [94].
In the non-diffusive regime (i.e., 1020.3 eV
E
1020.5
eV), the accumulated deflection angle
from the direction of the source in the extragalactic B-field is
roughly 10°
20°
[325].
The nuclei suffer
additional deflection in the Galactic magnetic field. In particular,
if the Galactic field is of the ASS type, the arrival direction of the
4 highest energy CRs can be traced backwards to one of the
starbursts
[326].
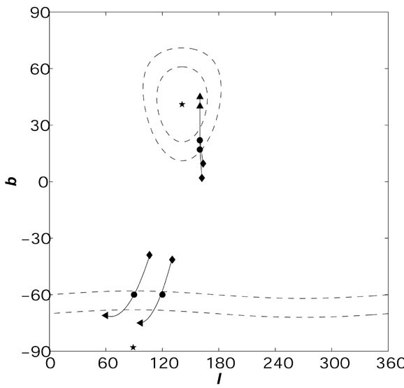
Figure 8 shows the extent to which the observed
arrival directions of the highest energy CRs deviate from their
incoming directions at the Galactic halo because of bending in the
magnetic field given in Eq. (13). The incoming CR
trajectories are traced backwards up to distances of 20 kpc away
from the Galactic center, where the effects of the magnetic field
is negligible. The diamond at the head of each solid line denotes
the observed arrival direction, and the points along these lines
indicate the direction from which different nuclear species (with
increasing mass) entered the Galactic halo. In particular, the tip
of the arrows correspond to incoming directions at the halo for
iron nuclei, whereas the circles correspond to nuclei of neon.
Regions within the dashed lines comprise directions lying within
20° and 30° degrees of the starbursts. It is seen
that trajectories for CR nuclei with Z
10 can be further
traced back to one of the starbursts, within the uncertainty of
the extragalactic deviation.
![]() |
Figure 8. Left: Directions in Galactic coordinates of the four highest energy CRs at the boundary of the Galactic halo. The diamonds represent the observed incoming directions. The circles and arrows show the directions of neon and iron nuclei, respectively, before deflection by the Galactic magnetic field. The solid line is the locus of incoming directions at the halo for other species with intermediate atomic number. The stars denote the positions of M82 and NGC253. The dashed lines are projections in the (l, b) coordinates of angular directions within 20° and 30° of the starbursts. Right: Curves of constant probabilities in the two-dimensional parameter space defined by the size of the cone and the minimum number of events originating within the resulting effective solid angle [326]. |
The effects of the BSS configuration are completely different. Because of the averaging over the frequent field reversals, the resulting deviations of the CR trajectories are markedly smaller, and in the wrong direction for correlation of current data with the starburst sources. We note that the energy-ordered 2D correlation distribution of the AGASA data is in disagreement with expectations for positively charged particles and the BSS configuration [296].
We now attempt to assess to what extent these correlations are consistent with chance coincidence. We arrive at the effective angular size of the source in a two-step process. Before correcting for bias due to the coherent structure of the Galactic magnetic field, the deflections in the extragalactic and Galactic fields (regular and random components) may be assumed to add in quadrature, so that the angular sizes of the two sources are initially taken as cones with opening half-angles between 40° and 60°, which for the purpose of our numerical estimate we approximate to 50°. However, the global structure of the field will introduce a strong bias in the CR trajectories, substantially diminishing the effective solid angle. The combined deflections in the l and b coordinates mentioned above concentrate the effective angular size of the source to a considerably smaller solid angle. As a conservative estimate, we retain 25% of this cone as the effective source size. A clear prediction of this consideration is then that the incoming flux shows a strong dipole anisotropy in the harmonic decomposition.
Now, by randomly generating
four CR positions in the portion of the sky accessible to the
existing experiments (declination range
> -10°), an
expected number of random coincidences can be obtained. The term
"coincidence" is herein used to label a synthetic CR whose
position in the sky lies within an effective solid angle
eff of
either starburst.
eff is
characterized by a cone with opening half-angle reduced from
50° to 24° to account for the 75% reduction in
effective source size due to the magnetic biasing discussed above.
Cosmic ray positional errors were considered as circles of
1.6° radius for AGASA. For the other experiments the
asymmetric directional uncertainty was represented by a circle
with radius equal to the average experimental error.
The random prediction for the mean number of coincidences is
0.81 ± 0.01. The Poisson probability
(25)
for the real result to be no more than the tail of the random
distribution is 1%. Alternatively,
we may analyze this in terms of confidence intervals. For the 4
observed events, with zero background, the Poisson signal mean 99%
confidence interval is 0.82 - 12.23
[279].
Thus our observed mean for random events,
0.81 ± 0.01, falls at the lower edge of this
interval, yielding a 1% probability for a chance occurrence.
Of course, this is not
compelling enough to definitively rule out chance probability as
generating the correlation of the observed events with the
candidate sources, but it is suggestive
enough to deserve serious attention in analyses of future data.
Assuming an extrapolation of AGASA flux (E3 Jobs(E)) up to 1020.5 eV, the event rate at Pampa Amarilla (26) is given by
![]() |
(57) |
where E1 = 1020.3 eV and E2 = 1020.5 eV. Considering a 5-year sample of 25 events and that for this energy range the aperture of PAO is mostly receptive to cosmic rays from NGC 253, we allow for different possibilities of the effective reduction of the cone size because of the Galactic magnetic field biasing previously discussed. In Fig. 8 we plot contours of constant probabilities (P = 10-4, 10-5) in the two-dimensional parameter space of the size of the cone (as a fraction of the full 50° circle) and the minimum number of events originating within the resulting effective solid angle. The model predicts that after 5 years of operation, all of the highest energy events would be observed in the aperture described above. Even if 7 or 8 are observed, this is sufficient to rule out a random fluctuation at the 10-5 level. Thus, a clean test of the starburst hypothesis can be achieved at a very small cost: < 10-5 out of a total 10-3 PAO probability budget [327].
24 The relative importance of
convection and diffusion in the escape of the CRs from a
region of disk scale height h is given by the dimensionless
parameter, q = V0 h /
0, where
V0 is the convection velocity and
0 is the CR
diffusion coefficient inside the starburst
[318].
When q
1, the
CR outflow is difussion dominated, whereas when
q
1 it is
convection dominated. For the central
region of NGC 253 a convection velocity of the order of the
expanding SNR shells ~ 10000 km s-1, a scale
height h ~ 35 pc, and a reasonable value for the diffusion
coefficient
0 ~ 5 ×
1026 cm2 s-1
[179],
lead to q ~ 216. Thus, convection
dominates the escape of the particles. The residence time of the
iron nuclei in the starburst results
tRES ~ h / V0
1 ×
1011 s.
Back.
25 Because of constraints inherent in partitioning events among clusters, the distributions are very close to, but not precisely Poisson [65]. Back.
26 The
Southern Site of PAO has been christened Pampa Amarilla. Recall that it
has an aperture
A
7000
km2 sr for showers with incident zenith angle less than 60°.
Back.