Next Contents Previous

3. GALACTIC SOURCES

3.1. The Crab Nebula

The Crab Nebula was first detected with a 37 pixel camera on the Whipple Observatory 10 m optical reflector in 1989. This early and somewhat crude instrument yielded a 9 sigma detection with some 60 hours of integration on the source (Weekes et al. 1989). The detection relied on discrimination of the gamma-ray images from the much more numerous hadron background images. The possibility of a systematic effect with a new, and not yet proven, technique could not be completely discounted (although numerous tests were made for consistency). Nonetheless, it required the independent confirmation of the detection by other groups using different versions of the technique to really convince skeptics. The Whipple group subsequently detected the source at the 20 sigma level using an upgraded camera (109 pixels) (Vacanti et al. 1991) and now routinely detects the source at the 5-6 sigma level in an hour of observation. The detected photon rate (about 2 per minute) is more than that registered by EGRET at its optimum energy (100 MeV).

Since then, the Crab has been detected by eight independent groups using different versions of the atmospheric Cerenkov imaging technique (including one group in the Southern Hemisphere). Some of these detections are listed in Table 2. The energy spectrum is now well determined at energies between 300 GeV and 50 TeV (Hillas et al. 1998; Tanimori et al. 1998b). To date there have been no positive detections reported by air shower array experiments using particle detectors (which operate at somewhat higher energies) (Ong 1998).

Table 2. Flux from the Crab Nebula

Group VHE Spectrum
(10-11 photons cm-2 s-1)
Eth
(TeV)

Whipple (1991) a... [25(E / 0.4 TeV)]-2.4±0.3 0.4
Whipple (1998) b... (3.2 ± 0.7)(E / TeV)-2.49 ± 0.06stat ± 0.05syst 0.3
HEGRA (1999) c... (2.7 ± 0.2 ± 0.8)(E / TeV)-2.61 ± 0.06stat ± 0.10syst 0.5
CAT (1998) d... (2.7 ± 0.17 ± 0.40)(E / TeV)-2.57 ± 0.14stat ± 0.08syst 0.25

a Vacanti et al. 1991.
b Hillas et al. 1998.
c A. Konopelko 1999, private communication.
d M. Punch 1999, private communication.

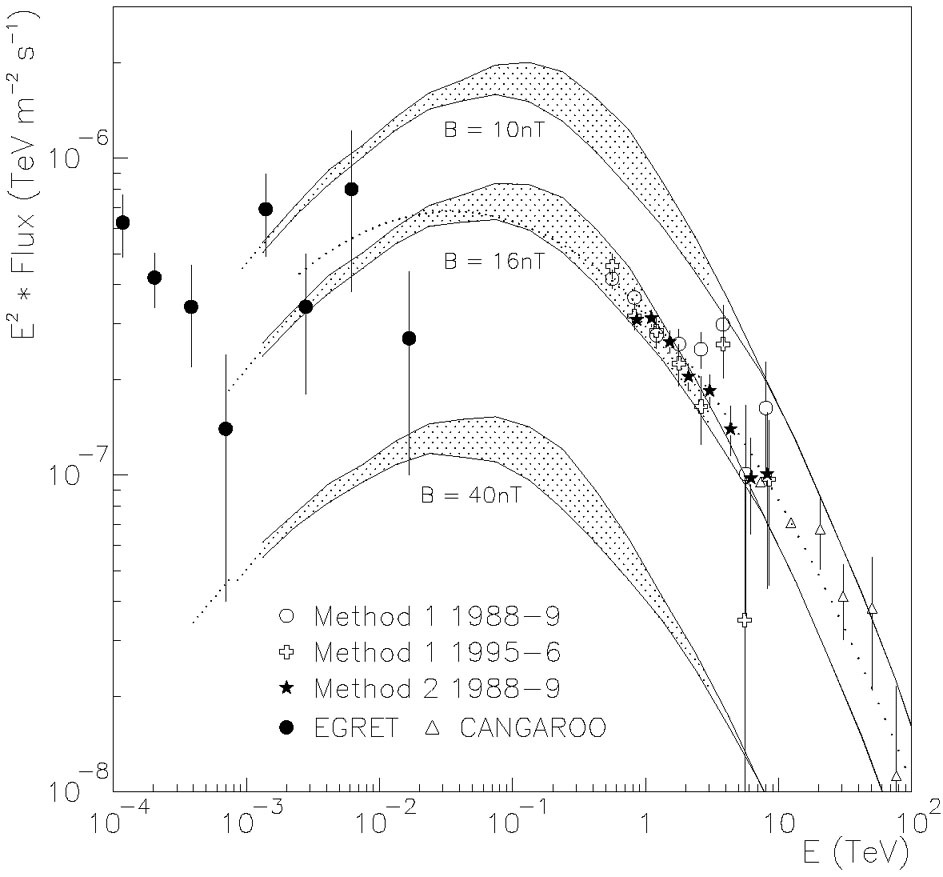
The simple Compton-synchrotron model (Gould 1965) has been updated to take account of a better understanding of the nebula (de Jager & Harding 1992; Hillas et al. 1998); the measured flux is in good agreement with the predicted flux for a value of magnetic field [(1.6 ± 0.1) × 10-4 G] that is slightly lower than the equipartition value (Fig. 2). Although this model is certainly simplistic given the structure now seen in optical images of the nebula, it shows that there is a viable mechanism that must work at some level.

Figure 2

Figure 2. The VHE spectral energy distribution of the Crab Nebula compared with the predictions of a synchrotron self-Compton emission model (Hillas et al. 1998).

As in many other bands of the electromagnetic spectrum, the Crab Nebula has become the standard candle for TeV gamma-ray astronomy. Most importantly perhaps, it is available as a steady source to test and calibrate the ACIT and can be seen from both hemispheres. Improvements in analysis techniques developed on Crab Nebula data have led directly to the detections of the AGNs discussed below.

Next Contents Previous