| Annu. Rev. Astron. Astrophys. 2003. 41:
191-239 Copyright © 2003 by Annual Reviews. All rights reserved |
To illustrate the influence and relevance
of various terms in Equations (3) - (5), we briefly
describe several simple time-dependent solutions (also see
Loewenstein &
Mathews 1987).
For a reference flow we consider an E0 galaxy with no conductive or AGN
heating and no source of gas except that lost from the stars,
i.e. an "isolated" elliptical galaxy. The calculations begin at
cosmic time tin = 1 Gyr when we imagine
that the (recently assembled) galaxy has just
been cleared of gas by Type II supernovae. We assume NGC 4472 parameters with an NFW group halo
of mass Mh = 4 × 1013
M
and
supernova rate SNu(t) = SNu(tn)(t /
tn)-s with
SNu(tn) = 0.06 and s = 1.
In this reference model gas cools only at the galactic
center and for simplicity we ignore the (not insignificant)
gravitational influence of the cooled gas on
hot gas near the origin; with this assumption the
solutions are less sensitive to tin.
After the flow evolves to time tn = 13 Gyrs
we compare the density and temperature profiles with those of NGC 4472 and consider the mass that has
cooled and the iron abundance in the hot gas. The stellar iron abundance is
z*, Fe = 0.75[1 + (r /
Re)2]-0.2 (in solar meteoritic
units) and 0.7
M
of
iron is contributed by each Type Ia supernova.
Then we describe the effect on the reference solution when
one of the many terms and parameters in Equations (3) - (5) is altered.
None of these models agrees completely
with the observations although some agree
much better than others.
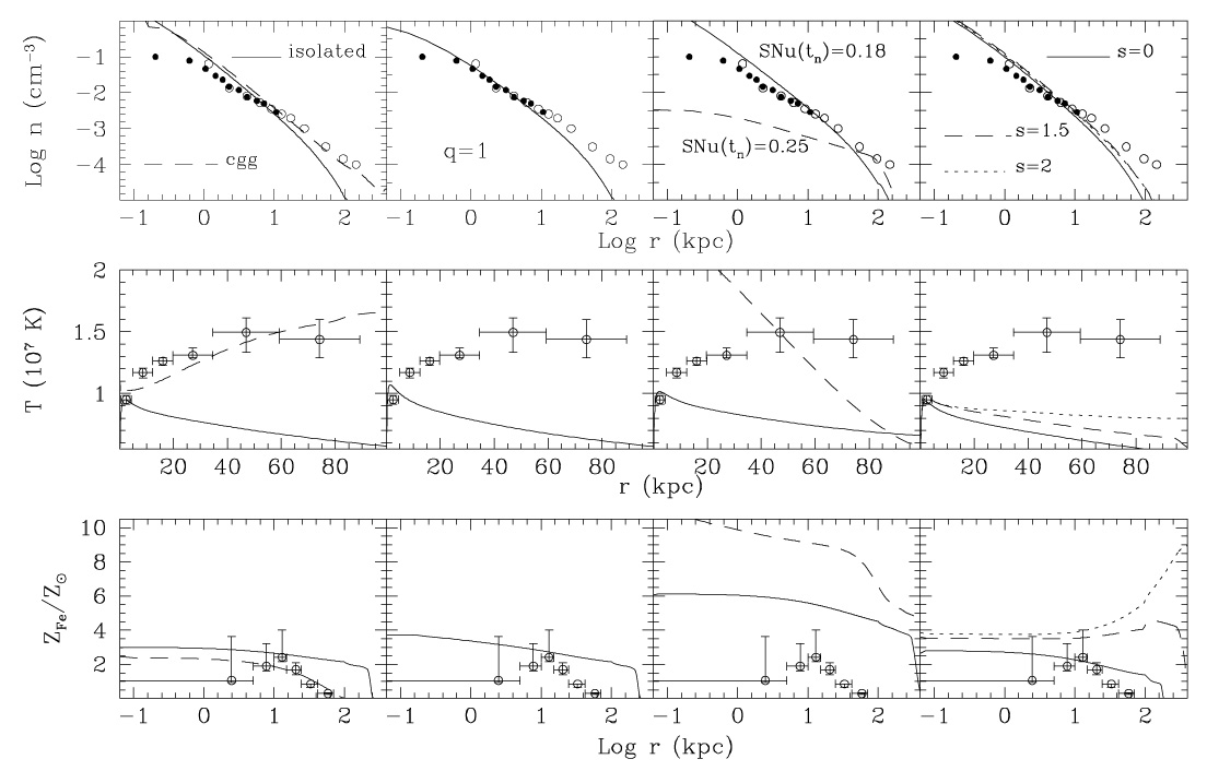
Reference Flow: The reference model at time tn,
shown with solid lines in column 1 of Figure 5,
clearly has a steeper density slope than the observed profile
and the temperature beyond about 5 kpc is too low.
Both of these discrepancies occur in large part because
our reference model galaxy is "isolated". The real NGC 4472 galaxy is (or was) surrounded by an
extended circumgalactic cloud of gas
at the somewhat higher virial temperature of the dark matter
potential of the galaxy group from which NGC 4472 formed.
As we discussed earlier, the excess gas density inside r ~ 10 kpc is
a characteristic feature of all flow models except those
with additional non-thermal pressure or heating. The temperature gradient
dT/dr is negative in disagreement with observations
of NGC 4472 and other similar galaxies
(Figure 2b).
Negative dT / dr occurs because of the steepness
of the stellar potential in
r
Re. When the reference calculation
is repeated ignoring the stellar gravity but retaining
only the softer NFW potential, T(r) passes through a maximum
around r ~ 40 kpc and dT / dr > 0 within this
radius, similar to cooling flow thermal profiles in rich clusters.
For the reference flow we find
Lx, bol(tn) = 6.7 ×
1041 ergs s-1 from the hot diffuse gas.
The iron abundance in the hot gas at r ~ 10 kpc,
zFe / zFe,
~ 2.7 (meteoritic), is
slightly higher than observed in the hot gas of NGC 4472,
zFe / zFe,
~ 2 (e.g.
Buote et al. 2000a,
2000c),
even though our reference SNu(tn) = 0.06 is rather low.
![]() |
Figure 5. A variety of computed
time dependent galactic flow models
are compared at time tn = 13 Gyrs
with the observed gas density (top row)
and temperature (middle row) of NGC 4472 taken
from Figure 2. The bottom row
shows the computed hot gas iron abundance compared with the observations of
Buote (2000c).
First column: A plot of the profiles at tn for
an approximate model of NGC 4472 assuming an isolated
galaxy (solid lines); this "reference" flow
is based on an assumed parameter set as explained in the
text. A similar galactic flow but including initial circumgalactic gas
("cgg") is also shown (dashed lines).
Second column: A model similar to the reference
flow but with ad hoc spatially distributed
cooling with dropout parameter q = 1.
Third column: Two flows similar to the reference
flow (for which SNu(tn) = 0.06) but with additional
heating by Type Ia supernovae: SNu(tn) = 0.18
(solid lines) and SNu(tn) = 0.25 (dashed
lines). Fourth column: Three galactic flows similar
to the reference flow but calculated
with different past Type Ia supernova rates SNu(t)
|
Circumgalactic Gas:
The dashed lines in column 1 of Figure 5 show the
effect of including circumgalactic, group-related gas in the NGC 4472 evolution
(Thomas 1986;
Bertin & Toniazzo
1995;
Brighenti & Mathews
1998).
Agreement with the observations is improved in several ways:
(1) By design
the gas density beyond the optical galaxy (r
10 kpc)
is increased to fit the data.
(2) Since the virial temperature of the NFW group halo
exceeds that of the central galaxy, the gas temperature
of the circumgalactic gas is higher. As hot circumgalactic gas flows inward,
it is cooled by radiation losses and by mixing with stellar ejecta at
characteristic temperature
~ T* ~ 107 K, naturally
creating the observed positive temperature gradient
within ~ 50 kpc. All known E galaxy temperature profiles
are positive (Figure 2b) within
several Re and
must therefore contain hot circumstellar gas,
but when those with very small X-ray images are observed (e.g.
NGC 4374:
Mathews & Brighenti
1998),
it is possible that dT / dr will be negative as in the
"isolated" reference model.
(3) If the iron abundance in the inflowing circumgalactic
gas is zFe / zFe,
~ 0.3 - 0.4,
typical of external regions in groups and clusters, then as the
inflowing gas mixes with supernova ejecta, the mean abundance
zFe / zFe,
~ 1 - 2
at r ~ 10 kpc is closer to observed values.
The beneficial effect of these improvements, taken together,
provide support for subsonic inflow as in classical cooling flow theory.
Central Mass Difficulties:
Our reference solution has serious problems near the origin.
The amount of gas that has cooled there by time tn,
Mcold = 37 × 109
M
, far
exceeds the mass Mbh ~ 0.56 - 2.6 × 109
M
of the
central black hole observed in NGC 4472 (e.g.
Magorrian et al. 1998;
Merritt & Ferrarese
2001)
and would cause the central stellar velocity dispersion to exceed
the observed value. In standard cooling flows in luminous E galaxies,
with or without circumgalactic gas,
the mass of cooled gas, Mcold,
is several times greater than the total mass of hot gas at
tn. Although most of the cooled mass
Mcold is formed at early times
(
*
t-1.3)
when our understanding of galactic evolution is uncertain,
at the current cooling rate for the reference flow,
1.1
M
yr-1, Mcold and Mbh
become equal after only ~ 2 Gyrs. Mcold can also be
reduced by supernova driven galactic winds at early times;
this may occur even before the E galaxy formed by mergers.
If the reference model is begun gas-free at
a much later time tin = 5 Gyrs (redshift z ~
1.25 for H0 = 70,
m = 0.3
and 
=
0.7), then Mcold = 7.7 × 109
M
is
reduced but still exceeds Mbh - the problem of
excessive Mcool does not go away easily.
Compact, luminous X-ray emission is expected as
hot interstellar gas flows toward the central supermassive
black holes in E galaxies
(Fabian & Canizares
1988).
In our reference flow, even if the potential
energy of the black hole is ignored, the X-ray luminosity of gas cooling
by thermal emission at the very center of the flow,
Lx, bol(r = 0, tn)
(5k T / 2 µ mp)
(0)
1041
T7(
/ M
yr) ~ 1041 ergs s-1,
is comparable to Lx, bol from the rest of the flow,
in flagrant violation of observations. Attempts to detect compact X-ray
sources in giant E galaxies have been remarkably unsuccessful (e.g.
Fabian & Rees 1995;
Reynolds et al. 1996;
Di Matteo et al. 2000;
Roberts & Warwick
2000;
Loewenstein et
al. 2001;
Sulkanen & Bregman
2001).
This emission shortfall is usually expressed in terms of the luminosity
L
c2 of
spherical Bondi accretion onto a mass point,
4

c
-3(G Mbh)2,
where 
is the
density of distant gas at rest and
c
370T71/2 km s-1
is the isothermal sound speed in this gas. If energy is produced with
efficiency
=
0.1, the expected luminosity
L ~
c2
~ 6 × 1044
(
/ 0.1)
ne T7-3/2
(Mbh / 109
M
)2, is similar to a quasar.
Central X-ray emission from Chandra observations of NGC 6166
(Di Matteo et al. 2001)
and M87
(Di Matteo et al. 2003),
where nuclear X-ray sources are observed, indicate
~
10-4. This low efficiency is within
the radiation-reducing capability of advection dominated accretion flows
(ADAFs)
(Rees et al. 1982;
Narayan & Yi 1995;
Abramowicz et al. 1995).
The
in
M87 and
NGC 6166 may also be reduced
below the Bondi rate by occasional AGN heating.
In addition, some of the accreting mass and energy may
be redirected to kinetic flow along a jet
(Blandford & Begelman
1999)
which for M87
is ~ 1044 erg s-1. Recently
Loewenstein et al (2001)
examined Chandra images of several bright E galaxies
(NGC 1399, NGC 4472, and NGC 4636) and found no evidence
of compact nuclear X-ray emission in the galactic cores,
indicating
10-5.
Either the radiative efficiency is incredibly low or gas
is not arriving at the black hole in Bondi flow.
Perhaps the gas is outflowing in this region or heated in some way by
the black hole; these possibilities
would be compatible with the flat density gradient observed
in the central few kpc of M87
(Di Matteo et al. 2003)
that is difficult to produce with inflowing or static solutions.
Mass Dropout:
The traditional device to avoid huge central masses of cooled gas
and central inflows at tn
has been to assume that the cooling is somehow spread over a large
range of radius. To accomplish this, an ad hoc "dropout" term
is added to the right hand side of Equation (3),
- q
/
tcool, where q is a dimensionless parameter (e.g.
Fabian, Nulsen &
Canizares 1984a;
White & Sarazin
1987;
Sarazin & Ashe 1989;
Kritsuk 1992).
This term is designed to force the gas to cool at any radius in
proportion to the local gas density divided by the local
cooling time at constant pressure,
tcool = 5 mpk T / 2
µ
.
For constant q the rate of cooling dropout,
q
/
tcool
ne2, is concentrated toward the galactic
center, but q can also be assumed to vary with galactic radius.
Sarazin & Ashe
(1989)
showed that models with q
1
fit the X-ray data reasonably well.
It is interesting to estimate the value of q
that just balances mass loss from stars in Equation (3),
q = (tcool /
)
*
*
0.4 where T =
107 K is assumed and we use
8.54 ×
10-20ne2 from
Figure 2a.
Therefore, in evolutionary models with uniform q ~ 1
gas is removed from the flow at about the same rate that
it is supplied by stars. The flow does not shut down if q > 1,
however, since the gas density decreases and
q
/
tcool
2
becomes less effective; the total mass of cooled
gas is quite independent of q.
In column 2 of Figure 5 we plot the density and
temperature using reference model parameters but including the dropout
term in Equation (3) with q = 1. One of the historical
motivations for dropout was to avoid the central rise in gas density in
cooling flow models, but in our experience dropout does not completely
solve this difficulty as seen in Figure 5.
In this dropout solution the mass of cooled gas,
Mcold = 3.8 × 1010
M
,
is almost the same as in the reference solution, but
only a small fraction cools at the origin.
In flows with mass dropout the gas is multiphase everywhere,
i.e. some gas cools in pressure equilibrium at every radius
and passes through a continuum of higher densities and
lower temperatures. The additional emission from these cooling regions,
if they exist, is substantial and must be added to the emission of
the smooth background gas that radiates in the normal way.
Consequently, the observed or apparent gas density is higher
and the temperature lower than that of the smooth background.
The apparent density profile ne(r) in column 2
of Figure 5
agrees much better with the data for NGC 4472 than
the reference model (q = 0) in column 1.
Adding circumgalactic gas would improve the agreement further.
If the cooled gas forms into a spatially extended population
of optically dark (dwarf) stars, as often assumed,
then the stellar mass to light ratio would vary with
galactic radius. In some cases this dark mass can thicken
and distort the fundamental plane beyond observed limits
(Mathews & Brighenti
2000).
But in the high pressure environment of galactic flows,
stable Bonner-Ebert spheres at 104 K have masses
2M
, and
this may also be the maximum mass of any stars that form
(Mathews & Brighenti
1999a);
because these stars are optically luminous, their influence on the
fundamental plane is lessened. Young stars in this mass range could
explain the high stellar
H
features
that are commonly observed in giant E galaxies
(Mathews & Brighenti
1999b;
Terlevich & Forbes
2002).
Another historic difficulty with the dropout hypothesis is that
infinitesimal perturbations in the gas density do not develop into full
blown thermal instabilities (e.g.
Balbus 1991).
Loewenstein (1989)
showed that small (coherent!) density perturbations oscillate
radially in the nearly static hot gas atmosphere
with very little overdensity on average and do
not cool appreciably faster than the ambient undisturbed gas.
Computational studies of the gas dynamics of initially
overdense regions in cooling flows
(Hattori & Habe
1990;
Yoshida, Habe &
Hattori 1991;
Malagoli, Rosner &
Fryxell 1990;
Reale et al. 1991;
Hattori, Yoshida &
Habe 1995)
indicate that runaway thermal instabilities are not expected
unless the initial perturbation
amplitude is very large,
/
1.
However, in recent 2D calculations of AGN heated
flows spatially distributed cooling appeared spontaneously
near the outer boundary of the convective region
(Kritsuk, Plewa &
Müller 2001)
and also in non-linear compressions in convective regions
(Brighenti & Mathews
2002b).
Nevertheless, intermediate (multiphase) temperatures, an essential outcome of radiative cooling and mass dropout, are not supported by XMM X-ray spectra of galactic scale flows (NGC 4636: Xu et al. 2002; NGC 5044: Buote et al. 2003a; NGC 1399: Buote 2002; M87: Molendi & Pizzolato 2001). Likewise, in cluster scale flows there is no evidence for gas cooling below ~ 1 - 2 keV (Peterson et al. 2001; Tamura et al. 2001; Kaastra et al. 2001; Molendi & Pizzolato 2001; Böhringer et al. 2002; Matsushita et al. 2002). These astonishing null results have led to many speculations, discussed below, but at present no single explanation is generally accepted.
Transition to Winds:
Clearly, it could be helpful if the gas flowed out rather than in,
but what additional heating is required to drive a wind at time
tn? To answer this question, we heated the gas
by increasing the Type Ia supernova rate in NGC 4472 above the reference
value SNu(tn) = 0.06 SNu and repeated the calculation
with all other parameters (including s) unchanged.
The transition to a wind is abrupt.
As seen in column 3 of Figure 5, for
SNu(tn) = 0.18
the temperature and density profiles at tn are almost
identical to the reference solution, although
Mcold = 2.5 × 1010
M
,
Mhot = 2.4 × 1010
M
and Lx, bol = 1.0 × 1042 erg
s-1 are all slightly lower due to outflows at early times.
At time tn the gas is flowing inward at all radii.
However, a further small increase to SNu(tn) = 0.25
produces a strong global wind at tn with very low gas
density at all radii and Lx, bol drops to
1.9 × 1041 erg s-1.
No known galaxy has density, temperature and abundance
profiles like those for the SNu(tn) = 0.25 solution
in Figure 5.
Outflows generally require finely-tuned heating. More realistic
galactic flows with additional circumgalactic gas require
a much larger SNu(tn) to drive an
outflow by tn. Outflows may be common
in low luminosity ellipticals, Lb
LB,
crit, and spiral bulges where the hot gas is difficult to observe.
If the reference Type Ia rate SNu(tn) = 0.06 SNu
is applied to elliptical galaxies that are
0.3 as luminous as
NGC 4472, outflows at tn are easy
to generate.
Past Supernova Rate:
Next we describe several flows at tn for
a variety of past supernova rates SNu(t)
t-s,
by varying the index s from 0 to 2, keeping
SNu(tn) = 0.06 fixed.
In row 3, column 4 of Figure 5 we show the
current (t = tn) hot gas iron abundance profiles
for flows with s = 0, 1.5 and 2.
The temperature and density profiles at tn
change little over this range of s.
Mcold decreases by about 4.5 as s increases
from 0 to 2 because of supernova-driven outflows at early times.
Lx, bol(tn) only decreases by 40
percent as s varies from 0 to 2.
Recall that s > 1.3 (s < 1.3)
is a necessary condition for supernova
driven winds to occur at early (late) times.
Ciotti et al. (1991)
considered evolutionary models
with s = 1.5 and SNu(tn) = 0.11 - 0.22 SNu,
so that outflows and winds occur at early times, thereby reducing
Mcool(tn).
They also assumed that the fraction of galactic mass in
dark halos varies among elliptical galaxies with
similar LB. As a result, the model ellipticals
described by Ciotti et al. are at the present time
in different phases of a transition from outflow (low
Lx, bol / LB) to cooling inflow (high
Lx, bol / LB) and
they interpret this as an explanation for the large scatter
in the Lx, LB plot.
However, for the same range of supernova parameters,
the variations in Lx / LB would be
greatly reduced if circumgalactic gas had been included.
Furthermore, the iron abundance at tn
is strongly linked to the past supernova rate
(Loewenstein &
Mathews 1991;
Brighenti & Mathews
1999b).
Type Ia rates required to drive winds at early times
deposit too much iron in the hot gas by time tn.
The iron abundance for our s = 1.5 galaxy in
Figure 5 is ~ 3.5 solar throughout the hot gas.
This high abundance cannot be satisfactorily reduced
by mixing with inflowing circumgalactic gas
(column 1, Figure 5). We conclude that
the transient evolution from supernova-driven
winds to inflows is unlikely to explain the large scatter in the
Lx, LB plot
for massive ellipticals (LB
3 ×
1010
LB,
).
Additional Parameters:
Finally, we note several additional parameters that have some
influence on the solutions at time tn = 13 Gyrs.
Varying the (uniform) stellar temperature T*
from 6 × 106 K (the reference flow value)
to 2 × 106 K or 18 × 106 K
(but keeping the stellar mass fixed) leaves
ne(r) and T(r) essentially
unchanged.
Matsushita (2001)
argues that Lx and the hot gas temperature
in E galaxies without circumgalactic gas can be explained by
kinematical heating of the gas by stellar mass loss.
However, the kinematic temperature T* of
mass lost from orbiting stars is essentially
the same as the hot gas temperature,
i.e., both are determined by the same gravitational potential.
Altering the radiative cooling coefficient
(T) by
factors 3 or 1/3 has no appreciable effect on T(r) but the
gas density increases slightly with decreasing
.
If
= 0, as if some
source of heating perfectly balances radiative cooling at every radius,
then there is no radial flow and no gas cools at any radius.
But in this strange solution the gas density becomes very large
and the density gradient steepens
(
*) because a larger pressure gradient is
required to support the denser, nearly static atmosphere.
Decreasing the mass of the NFW halo from the reference value
Mh = 4 × 1013
M
to Mh = 5 × 1012
M
leaves ne(r) essentially unchanged
but T(r) is ~ 20 percent lower at r = 10 kpc.
For Mh = 1012
M
, however,
a mild galactic wind sets in at late times and
the density and temperature are both significantly lower.
In this last solution Lx, bol is ~ 30 times
lower than the reference value and comparable to
the luminosity of discrete stellar X-ray sources in NGC 4472, Lx,*
3 ×
1040 erg s-1
(Figure 1).
It is also interesting to vary the stellar mass loss rate
*,
simulating a situation in which not all of the gas ejected from stars
goes into the hot phase. When
*(tn) is reduced by 2,
holding
sn at
its reference value, the total mass of cooled gas
Mcold and Lx are both lowered by 2.
The gas temperature within ~ 40 kpc is lower by ~ 1.4, but the total
mass of hot gas Mhot = 1.1 × 1010
M
is almost
unchanged.
If
*(tn) is lowered
further, a wind develops by time tn.